Номер 1075 - ГДЗ Математика 6 класс. Мерзляк, Полонский. Учебник. Страница 230

Вернуться к содержанию учебника

Страница 230

1072 1073 1074 1075 1076 1077 1078

Вопрос

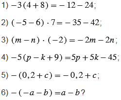
Верно и применено распределительное свойство умножения:

В случае отрицательного ответа укажите, в чем состоит ошибка.

Подсказка

Вспомните:

  1. Распределительное свойство умножения.
  2. Правила умножения рациональных чисел.
  3. Модуль числа.
  4. Умножение десятичных дробей.

Ответ


Вернуться к содержанию учебника