Вернуться к содержанию учебника
Упражнения § 6. Страница 44
173 174 175 176 177 178 179 180 181 182 183
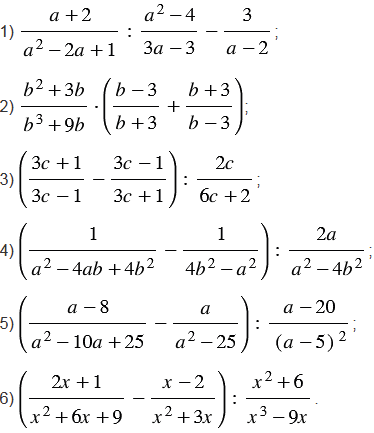
Выполните действия:
Вспомните: