Вернуться к содержанию учебника
Упражнения § 12. Страница 99
8 9 10 11 377 378 379 380 381 382 383
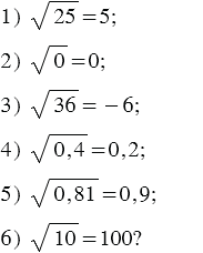
Верно ли равенство (ответ обоснуйте):
Вспомните: