Вернуться к содержанию учебника
Упражнения § 12. Страница 101
391 392 393 394 395 396 397 398 399 400 401
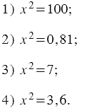
Решите уравнение:
Вспомните: